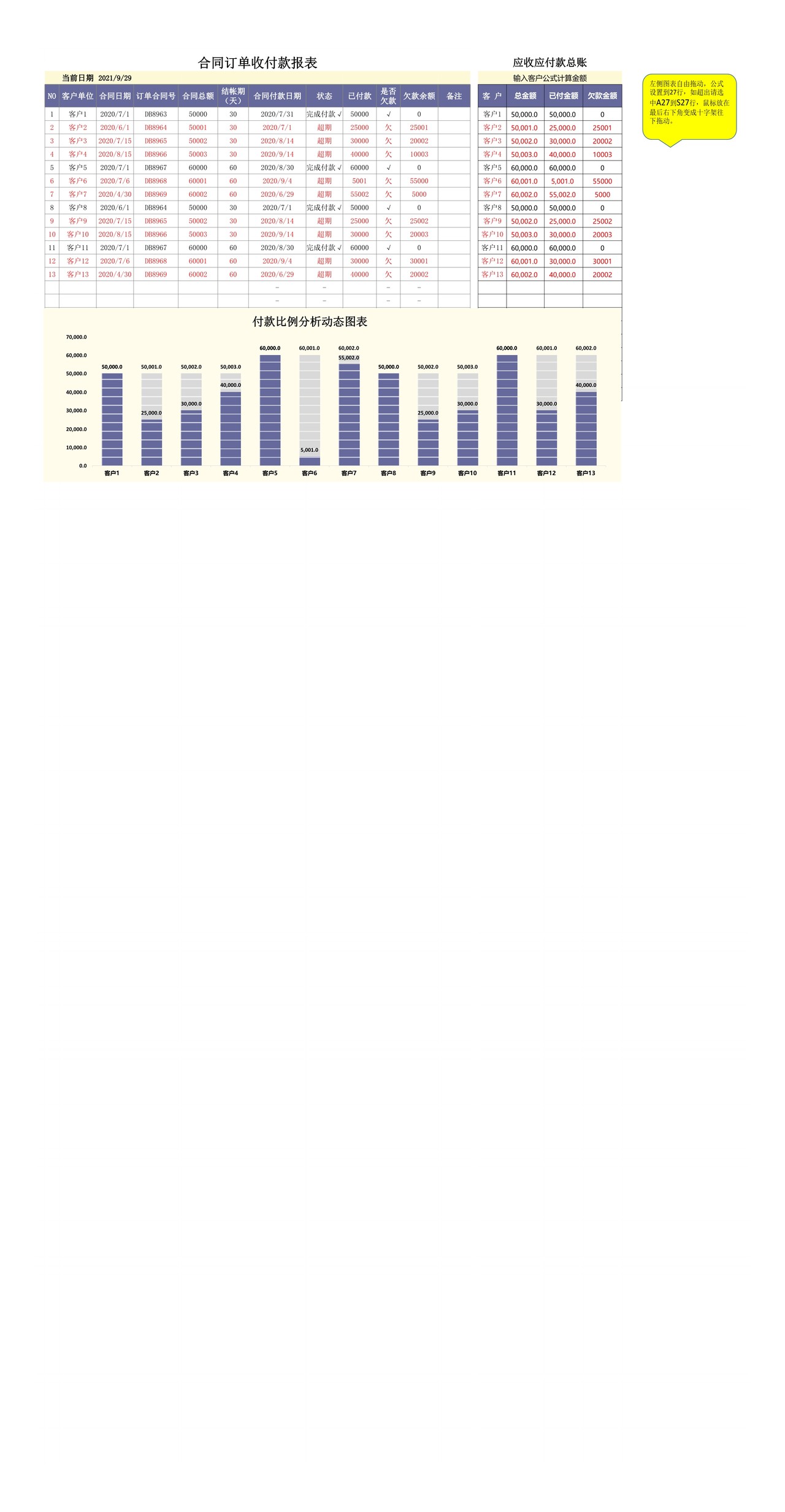
合同订单收付款-付款动态图分析

上一篇:
公司日常收支记账财务系统
2023-03-22
下一篇:
合同管理及支付明细表
2023-03-22
上传时间:2023-03-22
文件类型:财税表单
文件格式:EXCEL
下载数量:603
文件来源:小竹财税
文件页数:--




关注公众号
皖公网安备 34011102003330号